• Главная
  • Подписки
  • Найти
  • Новости
  • Статьи
  • Видео
  • Ролики
  • Видеоигры
  • Детям
Всё о ДзенеВакансииДзен на iOS и Android
ВсёНовостиТемыКаналыВидео и РоликиСтатьи и Посты
Образование
06:44
1,0×
00:00/06:44
Валерия
985,3 тыс смотрели · 4 года назад
sfd
Семинарские по Иродову
4 года назад
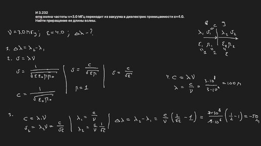
И 3.232 (Электромагнитные волны. Излучение)
Электромагнитная волна частоты ν=3.0 МГц переходит из вакуума в диэлектрик проницаемости ε=4.0. Найти приращение ее длины волны.
05:21
1,0×
00:00/05:21
Как решать
3787 смотрели · 4 года назад
Большой Взрыв в задаче раздела "Кинематика": Иродов 1.2
Также ищут
задания содержащие вопросы по гигиене и здоровому образу жизни включены в огэ по биологиизадача это в системном анализезакон де моргана отрицание дизъюнкциизакон палочки физиказакон сохранения массы и энергии в химии
4158704208.1951.1771472046282.54572