Уравнения Эйлера и Навье-Стокса для самых маленьких.
Вывод уравнений Максвелла из уравнения Эйлера
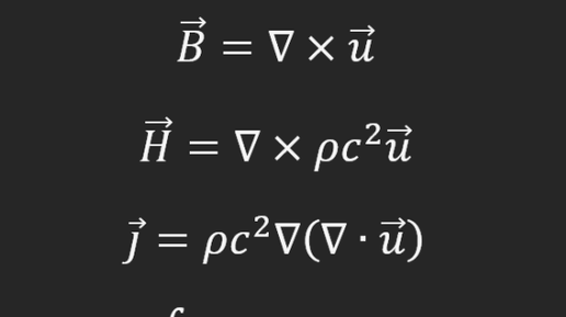
Предыдущее Когда нам известны предполагаемые выражения для магнитной индукции и напряжённости электрического поля, можно попробовать вывести уравнения Максвелла из механики сплошных сред. В качестве точки отсчёта возьмём уравнения Эйлера для идеальной несжимаемой жидкости: Возьмём ротор: Можем поменять порядок дифференцирования в правой части, а также учесть, что ротор градиента равен нулю. Дополнительно разделим на плотность: Воспользуемся известным алгебраическим тождеством:...