Решение 34 задачи ЕГЭ по хими 2024 года на электролиз
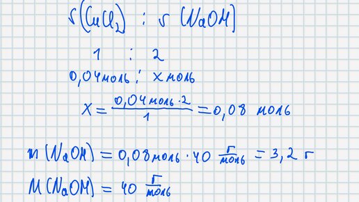
При проведении электролиза 360  г 15%-го раствора хлорида меди (II) процесс прекратили, когда на аноде выделилось 4,48  л газа (н. у.). Из полученного раствора отобрали порцию массой 66,6  г. Вычислите массу 10%-го раствора гидроксида натрия, необходимого для полного осаждения ионов меди из отобранной порции раствора. В ответе запишите уравнения реакций, которые указаны в условии задачи, и приведите все необходимые вычисления (указывайте единицы измерения искомых физических величин). Для решения задачи в первую очередь необходимо написать уравнения электролиза раствора хлорида меди (II)...
2039 читали · 3 года назад
Задачи на последовательный электролиз как разновидность расчетных задач.
Здравствуйте, уважаемые читатели! Сегодняшнюю статью я опять посвящаю задачам на электролиз. Немного предыстории: Задачи на электролиз впервые появились на ЕГЭ по химии, если не ошибаюсь, в 2018 году. Их характеризовал достаточно простой химизм : электролиз растворов солей , катионы которых представлены как сильными , так и слабыми металлами, анионы - кислотными остатками кислородсодержащих и бескислородных кислот. Основой для количественной характеристики электролиза являлось изменение массы раствора или количество(масса, объем) продуктов электролиза...