ХИМИЧЕСКИЕ УРАВНЕНИЯ | Как составлять уравнения реакций | Химия 8 класс
Секретная шпаргалка по химии. 3.3 Расчеты по уравнениям реакций
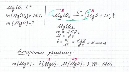
ЕГЭ по химии 2018 был сложным, уровень задач вплотную приблизился к конкурсным заданиям 90-х в столичных медицинских ВУЗах, 20% выпускников не преодолели даже минимальный порог. Но... "нам не стpашен ни вал девятый, ни холод вечной меpзлоты!" Мы поставили цель - стать врачами, и мы добьемся этой цели, не смотря на все трудности! В конце статьи я обязательно раскрою секрет установки на успех. А пока - грызем гранит знаний. Сегодня мы поучимся выполнять один из самых важных шагов практической химии - расчеты по уравнениям реакций...