• Главная
  • Подписки
  • Найти
  • Новости
  • Статьи
  • Видео
  • Ролики
  • Видеоигры
  • Детям
Всё о ДзенеВакансииДзен на iOS и Android
ВсёНовостиТемыКаналыВидео и РоликиСтатьи и Посты
Образование
02:47
1,0×
00:00/02:47
Репетитор по математике Елизавета
4949 смотрели · 2 года назад
Логарифмы.Серия 1.Что такое логарифм? Рассказываю для тех, кто никогда их не понимал или будет готовиться к ЕГЭ.10кл+
СпецКурс
2 года назад
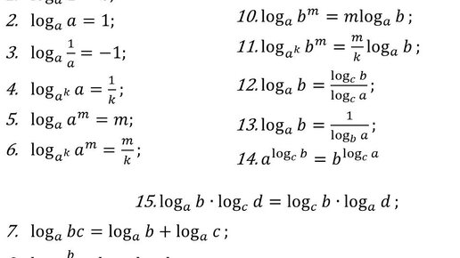
Основные свойства логарифмов
16:13
1,0×
00:00/16:13
sergey_prosto_math
2000 смотрели · 4 года назад
Логарифмы и их свойства
Также ищут
виды методологии в психологиивиды ммв химиявизуализирующие методы диагностики в кардиологиивлияние дарвинизма на развитие биологиивнутренняя кинетическая энергия
2268503620.1974.1771974266282.50443