186 читали · 4 года назад
Решаем уравнения и неравенства нестандартным способом
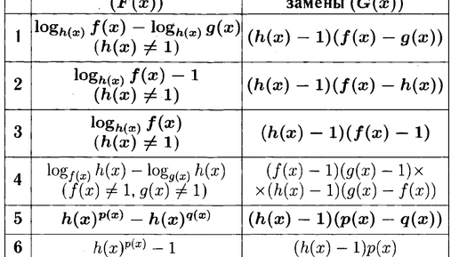
Устали от решения уравнений и неравенств классическим школьным способом? В статье мы разберем некоторые нестандартные методы. Уравнения и неравенства — часть второго раздела ЕГЭ по математике. При выполнении этих заданий требуется написать решение полностью. Основная проблема в том, что в школе дают ограниченное количество способов выполнения. Однако есть множество нестандартных, которые позволяют упростить задачу. Рационализация Возможно, вы слышали про этот метод от учителя. Но если нет — сейчас мы разберем его особенности...
1 неделю назад
Решение дробно рациональных уравнений и неравенств 10 класс: секреты, которые упрощают жизнь
Задавался ли ты вопросом, почему у одних учеников математика получается легко, а другие часами мучаются над одной задачей? Особенно это касается сложных тем вроде решения дробно рациональных уравнений и неравенств в 10 классе. Многие считают эту тему "кошмаром алгебры", но на самом деле есть простые приёмы, которые помогают разобраться даже тем, кто уверен, что "математика не для него". ✔ Наша группа ВК заходите и подписывайтесь: 👉 ВК Учись Легко ✔ Наш Telegram-канал с новостями, подписывайтесь:...