1 год назад
«Задачи по математике. Уравнения и неравенства» С. Н. Олехник, И. И. Мельников, П. И. Пасиченко, В. В. Вавилов Книга тесно примыкает к пособию авторов "Задачи по математике. Алгебра" и содержит справочные сведения по методам решения уравнений и неравенств: содержащих знак абсолютной величины, иррациональных, показательных и логарифмических. Приведены задачи, предлагавшиеся на вступительных экзаменах в МГУ. Методы иллюстрируются примерами. Для слушателей подготовительных отделений вузов, для самостоятельной подготовки к ЕГЭ и вступительным экзаменам. Это и многое другое вы найдете в книге Задачи по математике. Уравнения и неравенства (В. В. Вавилов, И. И. Мельников, С. Н. Олехник, П. И. Пасиченко). Напишите свою рецензию о книге С. Н. Олехник, И. И. Мельников, П. И. Пасиченко, В. В. Вавилов «Задачи по математике. Уравнения и неравенства» http://izbe.ru/book/84807-zadachi-po-matematike-uravneniya-i-neravenstva-v-v-vavilov-i-i-melnikov-s-n-olehnik-p-i-pasichenko/
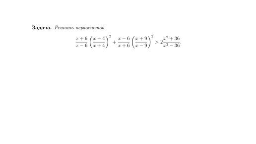
"Пугающее" рациональное неравенство.
Источник: Задачи по математике. Алгебра. Справочное пособие. Вавилов В. В., Мельников И. И., Олехник С. Н., Пасиченко П. И.— М.: Наука. Гл. ред. физ.-мат. лит., 1987. Глава 4, § 4, упражнение 1, неравенство 7...