10 месяцев назад
36. Теплота и работа. Первое начало термодинамики.
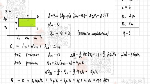
Капельян С.Н. Пособие для подготовки к ЦТ. Глава 11. Молекулярная физика и термодинамика. Параграф 36. Теплота и работа. Первое начало термодинамики. (белые места - удаленные условия заданий) Часть А:...
Что такое количество теплоты ?
Количество теплоты является одной из основных физических величин, которая играет важную роль во многих аспектах нашей жизни. Оно определяет способность системы передавать энергию другим объектам и является ключевым параметром при рассмотрении теплообмена между различными телами. Теплота может быть передана от одного объекта к другому посредством трех основных методов: проводимости, конвекции и излучения. Проводимость предполагает перенос энергии через прямой контакт между частицами материала; конвекция...