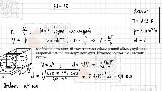
34. Основное уравнение молекулярно-кинетической теории (С.Н.Капельян)
Капельян С.Н. Пособие для подготовки к ЦТ. Глава 11. Молекулярная физика и термодинамика. Параграф 34. Основное уравнение молекулярно-кинетической теории. (белые места - удаленные условия заданий) В заданиях А1-3 выбор ответа не предполагающий решения...
2348 читали · 5 лет назад
Когда и как можно применить уравнение Менделеева - Клапейрона
Уравнение Менделеева-Клапейрона применяется для газов, имеющих малую плотность. Чем больше разрежен газ (например, откачана часть воздуха из сосуда), тем точнее выполняется это уравнение. При нормальных условиях оно выполняется для всех газов. При решении задач это уравнение позволяет найти число молей в данной массе газа найти плотность газа Если из условия задачи следует, что один из параметров не меняется, то пользуясь уравнением Менделеева-Клапейрона легко получить уравнения для изопроцессов...