Химия 8 класс типы химических реакций. Урок по химии 8 класса для школьников.
Типы химических реакций
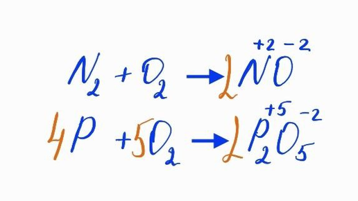
Доброго времени суток! Сегодня мы познакомимся с типами химических реакций в химии. 1. Реакция соединения. Реакция протекает между двумя простыми веществами или между двумя оксидами, в результате образуется одно сложное вещество. Причем соединяем мы просто два элемента! Индекс (маленькая цифра рядом с элементом) не переносится. Чтобы правильно составить продукт, нужно расставить степени окисления. Если в реакцию вступают оксиды, то лучше определить их вид, тогда будет проще определиться с тем, какой продукт получится...