Продвинутые алгоритмы: Фибоначчиева куча 1.6 #алгоритмы #algorithm #programming #программирование
Приближение дерева - бинарная куча - Python - структура - алгоритмы
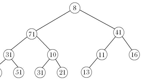
Классический способ реализации очереди с приоритетом - использовать структуру данных под названием двоичная куча. Она позволит нам извлекать из неё элементы за O(log(n). Кучей называется дерево, в котором любой элемент не меньше своего родителя. три основные операции, производимые с кучей: Так как мы говорим про двоичную кучу, то к ней накладываются дополнительные ограничения: Двоичная куча (структура данных) — это полное двоичное дерево, удовлетворяющее свойству кучи: если узел A — это родитель узла B, то ключ узла A ≥ ключ узла B...