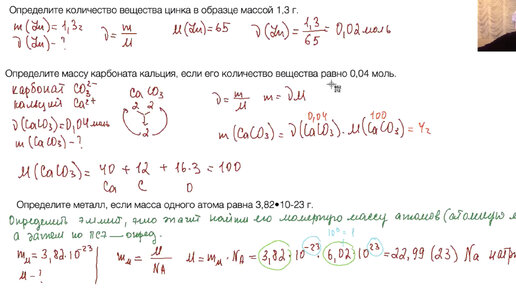
8 класс - Химия - Сложные вещества. Знакомство с различными классами неорганических соединений
ЕГЭ по химии будет ОЧЕНЬ сложным! Тебя спасет только легендарный курс "Стартап+ (химия с нуля по-взрослому)". Присоединяйся!
Вы хотите познавать химию и профессионально, и с удовольствием? Тогда вам сюда! Автор методики системно-аналитического изучения химии Богунова В.Г. раскрывает тайны решения задач, делится секретами мастерства при подготовке к ОГЭ, ЕГЭ, ДВИ, олимпиадам Хочешь сдать ЕГЭ по химии и биологии на 90+? WhatsApp репетитора Богуновой В.Г. +7(903)186-74-55 Сайт репетитора Богуновой В.Г. Репетитор Богунова В.Г. ВК Ютуб-канал репетитора Богуновой В.Г. Полный каталог статей - на авторском сайте в разделе "Статьи репетитора Богуновой В...
задание №18 из ЕГЭ 2024. Скорость химической реакции. Разбор сложных заданий №18 и теория!
Задание №18 из ЕГЭ по химии посвящено факторам, которые влияют на скорость химической реакции. Давайте рассмотрим немного теории и разберем ее на примерах реальных заданий ЕГЭ №18. Скорость химической реакции показывает как быстро реагенты превращаются в продукты реакции. Поэтому скорость реакции зависит только от состояния реагентов. То есть мы смотрим только на вещества в уравнении реакции, которые находятся с левой стороны! Итак, первый важный момент, смотрим только на реагенты, состояние продуктов реакции нас никак не интересует! Какие факторы влияют на скорость химической реакции: 1...