657 читали · 7 лет назад
Про уравнения Максвелла и пустоту.
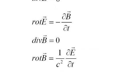
"Ух ты, физика!", Часть 23-я, лирическая. Поговорим про электромагнитные волны. Начнем с уравнений Максвелла. Существует классический частный случай уравнений Максвелла, который наглядно демонстрирует существование, природу и поведение электромагнитных волн. И хотя мы с вами знаем о существовании электромагнитных волн из нашей повседневной жизни, будем на время считать, что наше знакомство с "земным" физическим миром начинается с уравнений Максвелла. Итак, Уравнения Максвелла в пустоте В абсолютной кромешной вселенской пустоте...
180 читали · 7 лет назад
Уравнения Максвелла проходить нельзя пропустить!
"Ух ты, физика!" Часть 22. Фишки с 30 по 37. Как покончить с "правыми руками" и "левыми ногами"? В прошлой статье мы рассмотрели уравнения Максвелла в смысловой (словесной) формулировке. Теперь посмотрим частные случаи, которые проходят в средней школе "прямо в лоб". В обычном дифференциальном виде. Как я уже отмечал, в школьной физике много внимания уделяется различным мнемоническим правилам, вроде правила "правой руки". Природа этого упрощенчества лежит в особенностях преподавания почти всех школьных предметов, за исключением разве, что математики...