Необратимый гидролиз. Подготовка к ЕГЭ по химии.
Кто заказывал ужастик в 34-й задаче? Налетай! Необратимый гидролиз, растворимость, кристаллогидраты
Вы хотите познавать химию и профессионально, и с удовольствием? Тогда вам сюда! Автор методики системно-аналитического изучения химии Богунова В.Г. раскрывает тайны решения задач, делится секретами мастерства при подготовке к ОГЭ, ЕГЭ, ДВИ, олимпиадам Хочешь сдать ЕГЭ по химии и биологии на 90+? WhatsApp репетитора Богуновой В.Г. +7(903)186-74-55 Сайт репетитора Богуновой В.Г. Репетитор Богунова В.Г. ВК Ютуб-канал репетитора Богуновой В.Г. В каждом учебном году наступает период, когда типовые алгоритмы...
Химия: Гидролиз солей
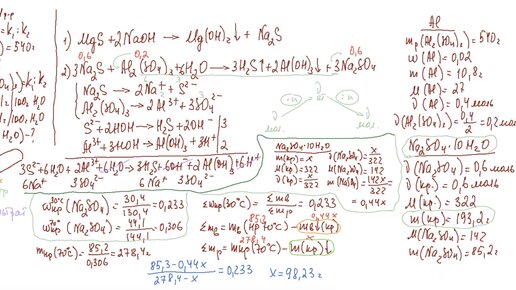
Гидролизом солей называют химическую реакцию взаимодействия соли с водой, сопровождающуюся изменением реакции среды. Гидролизу подвержены соли, образованные сильным основанием и слабой кислотой, слабым основанием и сильной кислотой, слабым основанием и слабой кислотой. Соли, образованные слабым основанием и слабой кислотой подвержены полному и необратимому гидролизу. Остальные гидролизуются обратимо по тому иону, который соответствует более слабому электролиту. Для написания уравнения гидролиза применяется...