Напоминание формулы вычисления физической величины "Работа"
Применение формул при решении физических задач
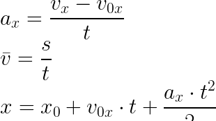
Сейчас меня будут закидывать тапками и тряпками, но всё, что я напишу здесь, более физично и научно, чем вся школьная физика в том виде, в котором её пихают на уроках (пример в конце) Как это работает в теории В задаче (расчетной) обычно просят написать в ответе значение какой-то величины. Узнать это значение можно только измерениями - прямыми или косвенными. Как правило, прямые измерения невозможны, поэтому для решения задачи требуется использовать формулы. Физические формулы из себя представляют связь между физическими величинами через арифметические действия (+-*/...
Путь к Уникальности: Расшифровка Сложности Формулы
ПОЯСНЕНИЕ ВАЖНОСТИ ФОРМУЛЫ И ЕЕ ПРИМЕНЕНИЕ В РАЗЛИЧНЫХ ФИЗИЧЕСКИХ КОНТЕКСТАХ ΔE/E формула имеет большое значение в физике, так как она позволяет описывать изменение энергии системы относительно ее начальной энергии. Эта формула может быть применена в различных физических контекстах и имеет множество применений. Вот некоторые из них: 1. Термодинамика: ΔE/E формула может быть использована для определения изменения энергии в термодинамических системах при тепловом взаимодействии с окружающей средой или при совершении работы над системой...