Задача 34. Растворимость и электролиз в одной ЗАДАЧЕ! Подготовка к ЕГЭ по химии.
Электролиз в 34-х заданиях ЕГЭ (обзор моих статей)
Вы хотите познавать химию и профессионально, и с удовольствием? Тогда вам сюда! Автор методики системно-аналитического изучения химии Богунова В. Г. Раскрывает тайны решения задач, делится секретами мастерства при подготовке к ОГЭ, ЕГЭ, дви и олимпиадам ЕГЭ все ближе и ближе...
Задачи на электролиз в ЕГЭ по химии-2020
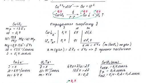
Полный курс химии вы можете найти на моем сайте CHEMEGE.RU. Чтобы получать актуальные материалы и новости ЕГЭ по химии, вступайте в мою группу в ВКонтакте или на Facebook. Если вы хотите подготовиться к ЕГЭ по химии на высокие баллы, приглашаю на онлайн-курс "40 шагов к 100 баллам на ЕГЭ по химии". При электролизе расплавов или водных растворов солей протекают окислительно-восстановительные реакции на электродах (аноде и катоде). В статье рассмотрены расчетные задачи, в которых основной химической реакцией является электролиз - основные приемы и типы решения таких задач. Какие именно процессы...