Высота поверхности жидкости, Решение 2, Минимум потенциальной энергии, Поверхностное натяжение, Физика, Олимпиады, ЕГЭ
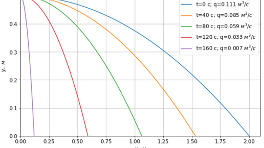
Определение времени опорожнения бака самотёком через отверстие внизу бака
Величина избыточного давления в месте отверстия составляет 𝑝 = 𝜌𝑔ℎ, где 𝑝 - давление, Па; 𝜌 - плотность жидкости, кг/м3; 𝑔 = 9.81 м/с2 - ускорение свободного падения; ℎ - высота столба жидкости над отметкой отверстия, м. При истечении воды из бака потенциальная энергия столба жидкости преобразуется в кинетическую энергию движения потока 𝜌𝑣2/2 (где 𝑣 - скорость потока, м/с) за вычетом потерь давления на преодоление местных сопротивлений и сопротивления трения...