⏳Ползучесть и восстановление в полимерах: от моделей до реальности
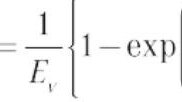
⏳Ползучесть и восстановление в полимерах: от моделей до реальности Разбираемся в поведении твердых полимеров под постоянным напряжением! Ползучесть – это когда материал деформируется со временем под постоянной нагрузкой📈 Функция податливости ползучести J(t) показывает, как деформация ε(t) меняется со временем по отношению к приложенному напряжению σ0. Рассмотрим модель Фойгта – параллельное соединение пружины и амортизатора. Под нагрузкой деформация растет, замедляясь со временем. После снятия нагрузки деформация экспоненциально уменьшается до нуля...
05:51
1,0×
00:00/05:51
28,3 тыс смотрели · 4 года назад
⏳Ползучесть полимеров: время, напряжение и деформация
⏳Ползучесть полимеров: время, напряжение и деформация! Погружаемся в мир ползучести! Это явление, когда материал продолжает деформироваться под постоянным напряжением с течением времени.🐌 Ключевое понятие: ×податливость при ползучести× J(t) = ε(t) / σ₀. Она характеризует зависимость деформации ε(t) от времени под действием постоянного напряжения σ₀. ➡️Модель Фойгта: деформация ползучести увеличивается, замедляясь со временем. При снятии нагрузки деформация экспоненциально уменьшается. Это похоже на то, как полимер частично восстанавливает форму после экструзии или литья...