ДОМАШНИЕ БИОПРЕПАРАТЫ: вот что вам надо знать в первую очередь! Опасность домашних микробов.
Реакции первого порядка
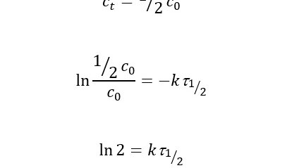
Реакции первого порядка – это реакции, в которых показатель степени в уравнении зависимости скорости от концентрации, в которую возводится концентрация, равен единице. Все реакции радиоактивного распада являются реакциями первого порядка...