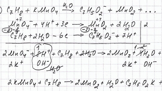
ОВР в органической химии⚗️
ЛЕКИЯ 18. Окислительно-восстановительные реакции в неорганической и органической химии.
На ранних этапах развития химии понятия «окисление» и «восстановление» связывали с переходом атомов кислорода от одного вещества к другому. Например, при реакциях горения образуется один или несколько оксидов – веществ, более богатых кислородом, чем исходное соединение, поэтому вместо слова «горение» иногда используют термин «окисление», т.е. добавление атомов кислорода. Реакции, противоположные окислению, называют восстановлением. Если окисление – это добавление атомов кислорода, то восстановление – это потеря кислорода...
Раскрываю секрет написания ОВР с органикой! Все намного проще, чем тебя учили (если, конечно, учили)
Вы хотите познавать химию и профессионально, и с удовольствием? Тогда вам сюда! Автор методики системно-аналитического изучения химии Богунова В. Г. Раскрывает тайны решения задач, делится секретами мастерства...