Маша Капуки и игрушки на пляже. Видео на море для детей.
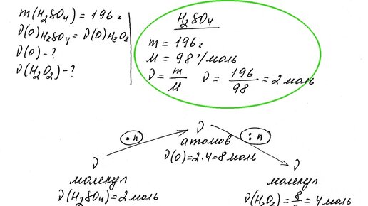
Секретная шпаргалка по химии. 2.4 Кульбиты с количеством вещества.
Вы знаете, как делаются открытия? Думаете, ученые сделали свои великие открытия случайно, как Ньютон, почесав голову после упавшего на нее яблока? Наверное, так оно и бывает. Иногда. Однако, в большинстве случаев открытия делаются абсолютно целенаправлено. Хотите, я расскажу вам алгоритм действий, ведущих к открытиям? Слушайте внимательно. Берете объект и начинаете прилагать к нему абсолютно разные инструменты для работы. Чем необычней и непривычней выглядит тандем "объект + инструмент", тем выше вероятность открытия...
Число Авогадро
Из Википедии: Число Авогадро, константа Авогадро, постоянная Авогадро — физическая величина, численно равная количеству специфицированных структурных единиц (атомов, молекул, ионов, электронов или любых других частиц) в 1 моле вещества. Ранее определялось как количество атомов в 12 граммах (точно) чистого изотопа углерода-12. Обозначается обычно как NA, а иногда и L. Значение числа Авогадро в Международной системе единиц СИ согласно изменениям определений основных единиц СИ точно равно NA = 6,02214076*10^23 моль^-1...