Тимашев Д.А. - Линейная алгебра и геометрия. Семинары - 3. Линейная независимость подпространств
Найти проекцию точки на плоскость
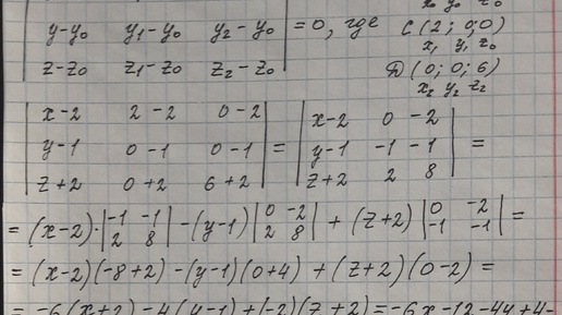
Задача по высшей математике, тема "Векторная алгебра". Вдруг пригодится кому-нибудь из первокурсников. Так мне понравилась, не могу не написать. Условие такое. Найти проекцию точки А (4, 2, 4) на плоскость, проходящую через точки В (2, 1, -2), С (2, 0, 0) и D (0, 0, 6). Схема решения. 1. Записать уравнение плоскости в общем виде. 2. Составить уравнение прямой, перпендикулярной к плоскости и проходящей через точку А. а) Найти направляющий вектор прямой ( нормаль плоскости), б) Записать каноническое уравнение прямой, в) Записать уравнение прямой в параметрическом виде...
Математика для чайников. Глава 10. Линейная алгебра
Начало: Математика для чайников. Глава 1. Что такое математическая абстракция. Предыдущая глава: Математика для чайников. Глава 9. Основы матанализа В публикации Математика для чайников. Глава 4. Алгебра я уже кратко писал, что такое линейная алгебра. Напомню, что это про векторы, матрицы и прочее тому подобное, и этот раздел математики вам жизненно необходим если вы хотите стать программистом в области искусственного интеллекта и Data Science . Предметом изучения линейной алгебры являться...