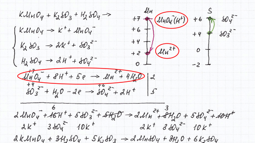
Выполнение упражнений реакции, используя метод полуреакций
Как?! Вы до сих пор не умеете писать ОВР?! Я вас научу! 9.2 Секреты метода полуреакций
Вы хотите познавать химию и профессионально, и с удовольствием? Тогда вам сюда! Автор методики системно-аналитического изучения химии Богунова В.Г. раскрывает тайны решения задач, делится секретами мастерства при подготовке к ОГЭ, ЕГЭ, ДВИ и олимпиадам Не хотела я создавать лирическую часть для этой статьи. Почему? Сегодня я планирую научить вас профессионально писать окислительно-восстановительные реакции. Поэтому отключила мобильную связь с Карлсоном и химичкой Фрекен Бок, не общаюсь с воспитанной...