633 читали · 3 года назад
Немного математики в программировании.
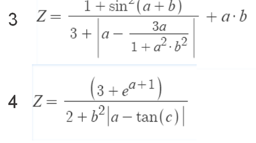
Сегодня продолжу тему программирования и решения простых задач. Как вы заметили, пока задачки идут простые с точки зрения программирования. В них вы учитесь решать примеры математики, которые можно переложить на физику или электротехнику. Идея в том, что любая оценка и принятие решения должны основываться на чём-либо. Для этого и служит математика. которая позволяет вычислять и давать результат. Предыдущая задача здесь:задача3. Скажу, сразу, что это простые программы и на них мы привыкаем к языку, учимся совершать просты операции и оптимизировать под себя...
2441 читали · 5 лет назад
Математика нужна программисту - рассматриваю конкретный пример
Нужна ли математика программисту? Этот вопрос очень популярен среди людей, которые только хотят начать программировать. Ответить однозначно нельзя, ведь не ясен уровень математической подготовки спрашивающего - без умения складывать пару чисел или просто считать в программирование точно нет смысла лезть. Но нужна ли сложная математика в повседневной работе программиста? Я не знаю, но сомневаюсь. В итоге, рассуждать об этом можно бесконечно, спекулируя областями и знаниями. Сегодня я решил показать...