Шишкин А. А. - Математический анализ II - Частная производная
Практика. Математический анализ (Матан). Частные производные.
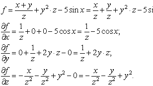
На сегодняшней практике ознакомимся с темой под названием "частные производные", затрагивать частные производные высших порядков пока не будем, остановимся на том что есть. Начнём... "Частные производные" подразумевают под собой, что нужно будет брать производные по различным переменным. Когда мы решали обычные производные, приходилось почти всегда работать только с одной переменной (к примеру "икс"). Тут же дела обстоят немного интереснее. Переменных у нас будет несколько (к примеру "икс", "игрек" и "зет") в одном примере...