06:44
1,0×
00:00/06:44
691,9 тыс смотрели · 4 года назад
380 читали · 2 года назад
Что такое математический анализ и для чего он нужен?
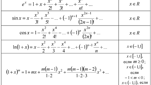
Математический анализ - это один из ключевых разделов математики, который находит широкое применение в науке и технике. Он позволяет решать широкий спектр задач, от простых вычислений до сложных моделирований и оптимизаций. Здесь мы будем говорить о том, как математический анализ может помочь в решении различных задач в науке и технике. Мы расскажем об основных понятиях математического анализа, а также о том, как они применяются на практике. Мы поговорим о том, как математический анализ используется в физике, биологии, экономике и других областях науки и техники...
Фамилия Малыгин: история происхождения, значение и склонение в одной статье
Фамилия Малыгин: история происхождения, значение и склонение в одной статье Фамилия Малыгин: происхождение, значение и склонение — исследуем полную историю в одной статье В России фамилия Малыгин является довольно распространенной, но не каждый знает ее историю происхождения и значение. В данной статье мы рассмотрим эту тему подробно, а также расскажем о склонении этой фамилии на русском языке. Первые упоминания о фамилии Малыгин относятся к XVIII веку, и она имеет происхождение от слова «малый». Вероятнее всего, первый обладатель этой фамилии был человеком маленького роста или же имел малый имущественный статус...