К первой паре / Эконометрика. Лекция 2. Метод наименьших квадратов. Модель парной регрессии
Метод наименьших квадратов
Задание. Экспериментально получены несколько значений функции y=f(x) при нескольких значениях аргумента. Считая зависимость между x и y линейной, найдите методом наименьших квадратов приближенное уравнение функции в виде y=ax+b...
Метод наименьших квадратов. Как получить функцию и построить линейную зависимость
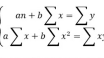
Метод наименьших квадратов - классический способ описания каких-либо зависимостей одной величины от другой. Наиболее простая для понимания и реализации этого метода является линейная зависимость вида y=kx+b. Предположим, что мы имеем некий набор точек в координатах x-y, и нам необходимо их описать линейной зависимостью (напоминаем, что такая функция имеет вид y=kx+b) с применением Метода наименьших квадратов. Суть заключается в нахождении коэффициентов k и b функции y=kx+b, которая линейно описывает наши "разбросанные" точки...