932 читали · 5 лет назад
Доказательство формулы Герона
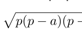
Теорема. Площадь треугольника, длины сторон которого равны a,b  и c , находится по формуле   где   — полупериметр треугольника. Доказательство.  Рассмотрим треугольник ABC  Пусть CH — высота треугольника ABC, проведенная из вершины C,  Тогда c= x+y , и по теореме Пифагора из треугольников ACH и BCH...
1770 читали · 4 года назад
Программируем на Python: теорема Пифагора
Здравствуйте, дорогие друзья. Сегодня мы рассмотрим известную всем со школьной скамьи теорему Пифагора на языке программирования Python. Наверное одна из самых лёгких теорем, при помощи которой можно было получить "5" по геометрии...