1175 читали · 5 лет назад
ЕГЭ по физике. Задача 31 (13). Параллельное и последовательное соединение источников тока
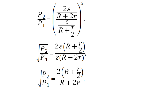
Полное условие задачи При параллельном соединении двух одинаковых источников тока на внешнем сопротивлении выделяется мощность 100 Вт. При последовательном соединении этих же источников тока на внешнем сопротивлении выделяется мощность 196 Вт. Какая мощность будет выделяться на внешнем сопротивлении при подключении к нему одного источника тока? Краткое условие задачи Решение задачи При параллельном соединении источников тока их общее ЭДС равно ЭДС одного источника: а общее сопротивление будет следующим:...
Параллельное и последовательное соединение резисторов на ЕГЭ по физике
Наверняка ты уже знаешь, как рассчитывается удельное сопротивление резистора, и можешь применять закон Ома для участка цепи. Пора усложнить задачу и добавить еще один или несколько резисторов. В нашем видео по теории о параллельном и последовательном соединении на ЕГЭ мы рассмотрим варианты соединений резисторов, их суммарное сопротивление и напряжение. Не стоит пропускать эту тему, так как знание основ позволит решить достаточно большой пласт задач на экзамене. Теория о параллельном и последовательном...