10,6 тыс читали · 6 лет назад
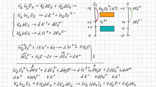
Ой, мама, я влюбилась в ОВР! 9.7. Хроматы-дихроматы - братья-акробаты.
Вы хотите познавать химию и профессионально, и с удовольствием? Тогда вам сюда! Автор методики системно-аналитического изучения химии Богунова В.Г. раскрывает тайны решения задач, делится секретами мастерства при подготовке к ОГЭ, ЕГЭ, ДВИ и олимпиадам Утром меня разбудил вызов по скайпу. Подключившись, я увидела девчонок из группы Фабрика. Их радостные физиономии в обрамлении желтых кудрей "А-ля Блонд" не предвещали ничего хорошего. И действительно, через секунду раздались оглушительные вопли: Ой, мама, я влюбилась, ой, мама, ты б не злилась, Ой, мама, не смогла, голову потеряла...