Как решать 11 задание ЕГЭ по химии
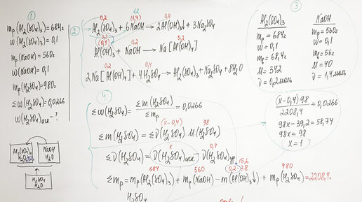
Еще один кошмар ЕГЭ по химии 2019! Очень сложный вариант 34-го задания. Всем читать!
Вы хотите подготовиться к ЕГЭ по химии фундаментально, профессионально, результативно, получая удовольствие от каждой стадии образовательного процесса? Тогда вам сюда! Читайте с радостью - учитесь с удовольствием! ЕГЭ - это ежегодный торнадо, который возникает вверху, в грозовом облаке ФИПИ и распространяется вниз, до самой поверхности школ, колледжей, лицеев и гимназий в виде облачного рукава или хобота КИМов диаметром в 60 933 км с запада на восток (или наоборот). В его страшную воронку попадают...