Тимашёв Д.А. - Алгебраическая геометрия и теория инвариантов - 2. Абстрактное аффинное многообразие
Лёгкая задача по геометрии из 2-части ОГЭ
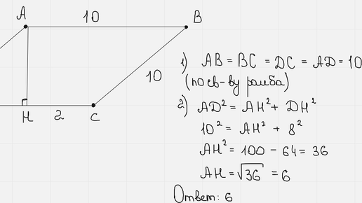
Многие думают, что смотреть вторую часть ОГЭ бессмысленно, так как там только сложные задачи. Давайте развеем этот миф и разберем прототип 23-ей задачи. Сделаем рисунок. Перед нами ромб. Задача сводится к поиску высоты AH. Нужно вспомнить, какими свойствами обладаем ромб. Ромб - это четырёхугольник, у которого...
Геометрия. Площадь геометрических фигур на плоскости. I часть. 8-11 классы. Математика. Теория.
Более сложные случаи, когда число а представляет собой конечную или бесконечную десятичные дроби, можете рассмотреть самостоятельно. Нужно понимать, что высота параллелограмма – это перпендикуляр, проведённый из любой точки одного основания к противоположному основанию этого параллелограмма или к прямой содержащей противоположное основание этого параллелограмма Нужно понимать, что высота треугольника – это перпендикуляр, проведённый из вершины треугольника к основанию этого треугольника или к прямой содержащей основание этого треугольника...