Петров С.В. -Введение в специальную теорию относительности - 2.Преобразования Лоренца и их следствия
«Секретная» базовая формула Лоренца – фундаментальная основа надстроечной релятивистской теории
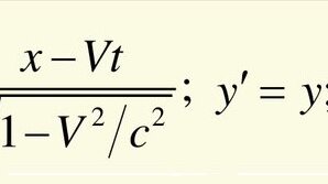
Специальная теория относительности (СТО), как правило, преподносится как результат глубокого понимания авторами этой теории законов мироздания, выраженный в формулах относительности времени и размеров в инерциальных системах и сопряжена со сложной математикой (например: релятивистский интервал, релятивистский Лагранжиан, Пространство Минковского и пр.). Однако, на самом деле, вся математика теории относительности вытекает из одной простой формулы, описывающей кинематику световых лучей, названной Лоренцем фундаментальным уравнением в этой сфере...
Теория относительности - понимаем ли мы преобразования Лоренца?
Продолжаем очерки, посвященные основным идеям специальной теории относительности (сто), начало цикла здесь. Знаю: суть сто заключена в преобразованиях Лоренца! Конечно, такое впечатление можно вынести из учебников, где преобразования рассматриваются в самом начале...