Вычисление вероятности с помощью формулы Бернулли (B1)
Вероятность и статистика. Испытания Бернулли. Задача №4.
Сколько элементарных событий в серии из 8 испытаний Бернулли благоприятствует: а) 2 успехам;
б) 6 успехам;
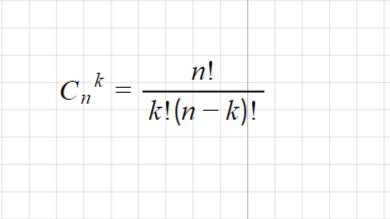
в) 5 успехам? Это достаточно простое задание. Для решения понадобится формула числа исходов: Решение:...
Теория вероятности.Формула Бернулли. Урок 8.1. Тест.
Задания Блок 1
👽1. Что такое формула Бернулли в теории вероятности?
A. Формула для вычисления вероятности успеха в серии испытаний
B. Формула для вычисления вероятности неудачи в серии испытаний
C. Формула для вычисления математического ожидания
D. Формула для вычисления дисперсии 👽2.Какая формула используется для вычисления вероятности успеха в серии из n независимых испытаний?
A. P(X=k) = C(n, k) * p^k * (1-p)^(n-k)
B. P(X=k) = n! / (k!(n-k)!) * p^k * (1-p)^(n-k)
C. P(X=k) = n! / (k!(n-k)!) * p^k * (1-p)^(n-k)
D...