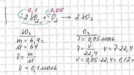
Знаешь, что такое полный отстой 2019? Это когда ты решаешь задачи по химии через пропорцию
Вы хотите познавать химию и профессионально, и с удовольствием? Тогда вам сюда! Автор методики системно-аналитического изучения химии Богунова В.Г. раскрывает тайны решения задач, делится секретами мастерства при подготовке к ОГЭ, ЕГЭ, ДВИ и олимпиадам Долго медитировала перед тем, как начать писать эту статью. И теперь я - самый спокойный человек в мире, как большой сфинкс на западном берегу Нила в Гизе. Мне это нужно, потому как представляю, сколько копий полетят в мою сторону после нынешней публикации...
909 читали · 3 года назад
Дроби. Сложение и умножение дробей. НОД. НОК. Почему при делении дробь переворачивается. Почему на 0 делить нельзя
Тип лекции: ключевая; Время чтения: 15 минут; Цель: понять, что такое дробь, где применяется и как с ней работать. Узнаем, что такое наибольший общий делитель, наименьшее общее кратное и как они применяются. Обсудим, почему при делении на дробь её нужно перевернуть и умножить, а также почему при делении на 0 получается бесконечность (но это не точно). Разберем пару простых задач на процент и как решать их в одно действие. Что такое дробь В лекции про числа обсуждали, что существуют исчисляемые предметы, такие как дом, автомобиль, велосипед и другие...