Esmira Memmedova - Xeyallarimin İnsani 2020 / Official Klip
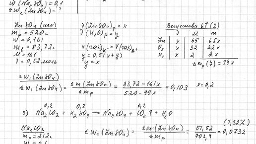
Ужасы электролиза на ЕГЭ по химии 2022. Часть 1. Параллельный электролиз + ОЧЕНЬ сложная задача от автора
Вы хотите познавать химию и профессионально, и с удовольствием? Тогда вам сюда! Автор методики системно-аналитического изучения химии Богунова В.Г. раскрывает тайны решения задач, делится секретами мастерства при подготовке к ОГЭ, ЕГЭ, ДВИ, олимпиадам Хочешь сдать ЕГЭ по химии и биологии на 90+? WhatsApp репетитора Богуновой В.Г. +7(903)186-74-55 Сайт репетитора Богуновой В.Г. Репетитор Богунова В.Г. ВК Ютуб-канал репетитора Богуновой В.Г. Полный каталог статей - на авторском сайте в разделе "Статьи репетитора Богуновой В...