236 читали · 7 лет назад
Квадраттық теңдеу түбірлерінің формуласын жаттау қиын дейтіндерге...
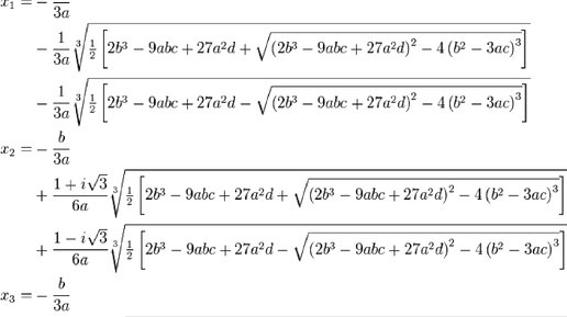
Квадрат теңдеуді шешудің әмбебап және ең танымал әдістерінің бірі – дискриминант арқылы есептеу. Дегенмен біздің өмірдегі құбылыстардың моделі квадрат теңдеумен шектеліп қалмайтынын айта кету керек. Кубтық, төртінші дәрежелі немесе жоғары дәрежелі теңдеулермен берілсе ше?! Әрине, мұндай теңдеулердің де шешімі болу керек. Бірақ біз қарастырып жүргеніміз тек - рационал түбірлері бар немесе биквадрат, симметриялы, толымсыз, көбейткіштерге жіктелетін т.б. секілді жеңіл типті теңдеулер. Егер берілген теңдеу ешқайсысына жатпаса, аналитикалық жолды айналып, графикалық жолмен шешуге асығатынымыз бар...