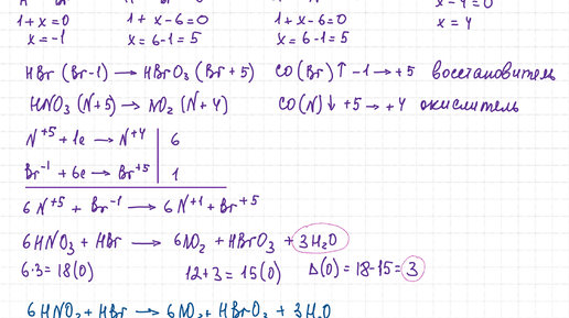
Неорганическая химия, 8 класс. Тема: "ОВР"
Реальные ОВР на ОГЭ по химии 2024 (задание 20). Авторская технология. 11-му классу читать запрещается!
Вы хотите познавать химию и профессионально, и с удовольствием? Тогда вам сюда! Автор методики системно-аналитического изучения химии Богунова В.Г. раскрывает тайны решения задач, делится секретами мастерства при подготовке к ОГЭ, ЕГЭ, ДВИ, олимпиадам Хочешь сдать ЕГЭ по химии и биологии на 90+? WhatsApp репетитора Богуновой В.Г. +7(903)186-74-55 Сайт репетитора Богуновой В.Г. Репетитор Богунова В.Г. ВК Телеграмм-канал репетитора Богуновой В.Г. Начну с последней фразы в названии статьи. Это почему...
Когда начинать готовиться к ОГЭ по химии?
- Ой, что там сдавать... Я не готовился совсем, и сдал на пять..
- Сколько химий в неделю было?
- Три урока и ещё два допа ..
(ага, не готовился)
А вот и ответ. Короче, когда читаете такого рода сообщения/комментарии, фильтруйте информацию. У всех разное "не готовился", ну и когда уже всё сдано - чего не построить из себя эдакого красавчика)
Да и написать можно всё, что угодно. Кто ж проверит.
(через три недели у меня в личке будут вот такие сообщения - что мне делать, ОГЭ на два, в сентябре пересдача)...