Задание 20 ОГЭ по математике 2024
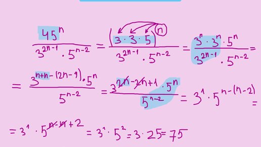
Сегодня разберём один из видов номера 20 ОГЭ по математике. Напомню, что номер 20 входит во вторую часть экзамена и требует развернутого решения. Для решения данного номера были использованы разложение на множители числа 45=3*3*5 и свойства степени...
39,8 тыс читали · 5 лет назад
Сколько заданий нужно решить, чтобы сдать ОГЭ по математике в 2021. Попробуй свои силы.
Для начала разберемся со шкалой перевода первичных баллов (зависит от количества и сложности заданий) в традиционную пяти бальную систему. Всего заданий на экзамене в этом году будет 25. В первой части,...