Формулы приведения на ЕГЭ 2025 с нуля. Научу тебя преобразовывать любую формулу приведения за 12 минут! Профильная математика 13 задание.
3 задания на применение формул приведения
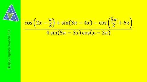
Математика онлайн. Доступно о сложном Здравствуйте, уважаемые любители математики! Первое упражнение (более сложное) мы разберем вместе, а второе и третье (которые предлагались на профильном ЕГЭ) можно будет решить самостоятельно, а затем проверить и ответ, и решение. Обратим внимание, что в первом слагаемом числителя и в последнем множителе знаменателя аргумент надо умножить на единицу, чтобы удобно было применять формулы приведения. Так как косинус - четная функция, то в результате этого преобразования ничего не изменится...
Формулы приведения: просто, быстро, без заучивания.
Формулы приведения учить не надо! Самые сложные темы по математики можно разбить на более простые элементы. Изучив и поняв значение каждого элемента, поможет Вам выявить основной принцип действий. Следовательно, «ухватив» суть, вы будете ясно представлять весь процесс решения. Ведь главное — это понимать! Понимать, что каждая задача индивидуальна. Что бездумное заучивание определений, формул, шаблонов решений – БЕСПОЛЕЗНО! Если задание перед вами будет хотя бы немного отличаться от стандартного, вы не справитесь...