1 месяц назад
Простой способ извлечения квадратного корня.
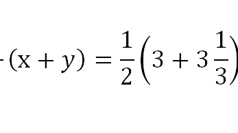
Предположим требуется извлечь корень из какого-нибудь числа, например 10. Мы знаем что квадратный корень из 9 равен 3, значит корень из 10 будет больше 3. Так как подкоренное количество равно произведению двух своих квадратных корней, то если одно из них х будет по недостатку, то другой y будет по избытку: Примем в нашем случае...
03:53
1,0×
00:00/03:53
25,8 тыс смотрели · 5 лет назад