ВСЯ ПРАВДА про ОПИЛКИ. ВРЕД или ПОЛЬЗА?
Пептиды: виды, цена, вред и польза.
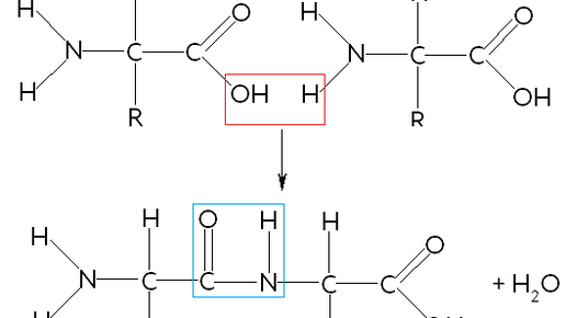
Добро пожаловать, потенциальный подписчик, сегодня мы поговорим о пептидах, как ты уже догадался по названию этой статьи. Лирическое отступление: это моя первая статья, поэтому я буду рад Вашей критике, только не переборщите😅. Погнали. Что такое пептиды, пептиды-это цепочка аминокислот, состоящая до 50 соединений этой цепочки. Теоретически количество соединений можно определить по первому слогу в названии Dipеptid( 2 соединения) Tripeptid(3 соединения), это в теории, но на практике, естественно,...