Необычная 34 задача. Выход продукта реакции, расчёт объёмной доли газа по МОЛЯРНОЙ массе смеси. ЕГЭ по химии 2020
Секретная шпаргалка по химии. 4.2. Состав смеси газов
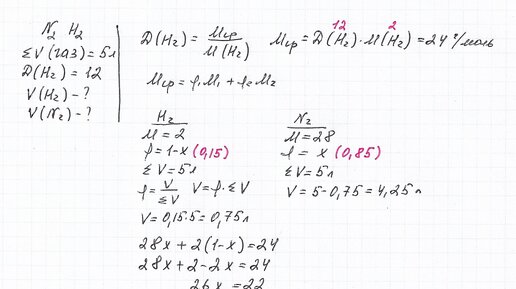
Команда "Газы!" была объявлена еще две недели назад. И что?! Легкие задачи порешали и расслабились?! Или вы думаете, что задачи на газы касаются только 28-х заданий ЕГЭ?! Как бы не так! Если газов пока еще не было в 34-х заданиях, это ничего не значит! Задач на электролиз тоже не было в ЕГЭ до 2018 года. А потом как врезали, мама не горюй! Обязательно прочитайте мою статью "Тайны задач по химии? Тяжело в учении - легко в бою!". В этой статье очень подробно рассказывается о новых фишках на электролиз...