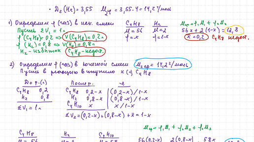
Задача на нахождение молекулярной массы вещества по его плотности по водороду
Раскрываем секреты ужасных задач на газы. Задача № 2 (пока не самая страшная)
Вы хотите познавать химию и профессионально, и с удовольствием? Тогда вам сюда! Автор методики системно-аналитического изучения химии Богунова В.Г. раскрывает тайны решения задач, делится секретами мастерства при подготовке к ОГЭ, ЕГЭ, ДВИ, олимпиадам Хочешь сдать ЕГЭ по химии и биологии на 90+? WhatsApp репетитора Богуновой В.Г. +7(903)186-74-55 Сайт репетитора Богуновой В.Г. Репетитор Богунова В.Г. ВК Полный каталог статей - на авторском сайте в разделе "Статьи репетитора Богуновой В.Г." Две недели назад я начала публикацию задач на газы...