Мультики про машинки – Петрович спасает грузовик и мотоцикл из песочницы для детей
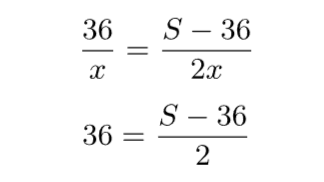
Посёлок C находится между городами A и B, причём расстояние между A и C равно 36 км
Посёлок C находится между городами A и B, причём расстояние между A и C равно 36 км. Одновременно из города A выехал грузовик, а из города B – мотоцикл, скорость мотоциклиста в два раза больше скорости грузовика. Найдите расстояние между городами A и B, если в посёлок C грузовик и мотоцикл прибыли в одно и то же время. 1. Посёлок C расположен между городами A и B. 2. Расстояние от города A до посёлка C равно 36 км. 3. Из города A одновременно выезжает грузовик, а из города B – мотоцикл. 4. Скорость мотоциклиста в два раза превышает скорость грузовика...