Добавить в корзинуПозвонить
Найти в Дзене
Neurogen

DeepSeek V4

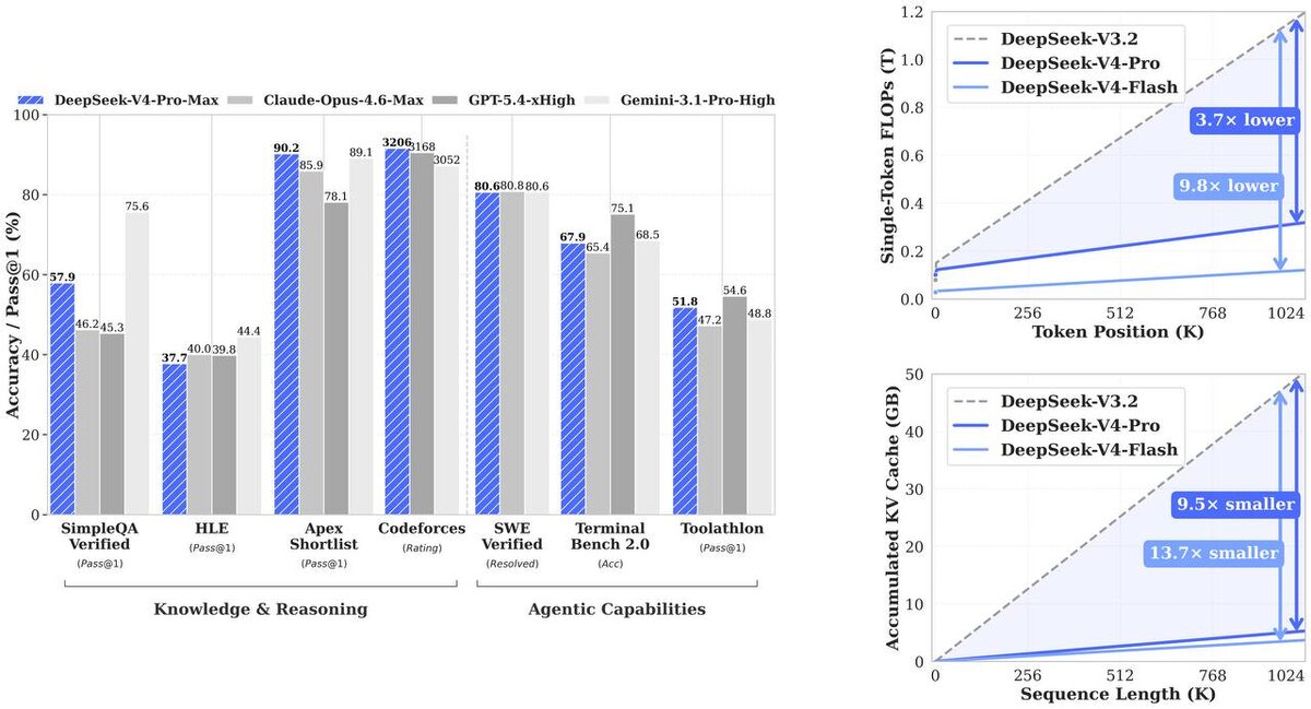
Тихо не спеша, без суеты, китайцы выпустили свой долгожданный обновленный флагман в 4 версиях Подогрею интерес, она обогнала новый Kimi K2.6 DeepSeek-V4-Flash и DeepSeek-V4-Pro. Обе поддерживают контекст до 1 млн токенов, максимальный вывод до 384K + tool calls и JSON output, то есть речь не просто о чатике поумнее, а о модели, которую сразу проектируют под серьёзные продуктовые и агентные сценарии У моделей thinking mode включён по умолчанию, режим можно отключить и переключиться на non-thinking, если нужна скорость На выходе получили продукт для продакшна. Совместим с OpenAI- и Anthropic-форматами API, а старые имена deepseek-chat и deepseek-reasoner постепенно связываются с режимами deepseek-v4-flash Стоит $0.14/$0.28 за 1М токенов Flash и $1.74/$3.48 Pro Пишут что уже можно попробовать в веб версии HuggingFace

DeepSeek V4

Тихо не спеша, без суеты, китайцы выпустили свой долгожданный обновленный флагман в 4 версиях

Подогрею интерес, она обогнала новый Kimi K2.6

DeepSeek-V4-Flash и DeepSeek-V4-Pro. Обе поддерживают контекст до 1 млн токенов, максимальный вывод до 384K + tool calls и JSON output, то есть речь не просто о чатике поумнее, а о модели, которую сразу проектируют под серьёзные продуктовые и агентные сценарии

У моделей thinking mode включён по умолчанию, режим можно отключить и переключиться на non-thinking, если нужна скорость

На выходе получили продукт для продакшна. Совместим с OpenAI- и Anthropic-форматами API, а старые имена deepseek-chat и deepseek-reasoner постепенно связываются с режимами deepseek-v4-flash

Стоит $0.14/$0.28 за 1М токенов Flash и $1.74/$3.48 Pro

Пишут что уже можно попробовать в веб версии

HuggingFace