Добавить в корзинуПозвонить
Найти в Дзене
Осторожно, репетитор!

ОГЭ по математике 2026. Вся информация и разбор новых номеров по математике

Итак, как я писала в предыдущей статье, «новые» номера усложнены чуть-чуть, что не должно представлять проблему для учеников, начиная с твердых хорошистов. К сожалению (обратила внимание), таковых, не говоря об отличниках, стало в разы меньше - все меньше, и меньше с каждым годом по одной-единственной причине: дети ничего не учат, а то, что раньше запоминалось само в процессе тренажерных отработок, теперь не запоминается, т.к. любую отработку заменило ГДЗ. Прямой доступ в интернет для школьников = смерть знаниям, хотя, возможно, задумывалось все наоборот. Но не будем о грустном. Будем о вечном - о математике. Новшества: 9-е типовые номера: Добавлены линейные уравнения, требующие раскрытия скобок (умножения на скобку). Главное - не ошибиться со знаком! Самая частая ошибка - вместо подчеркнутого двумя чертами плюса ребята пишут минус. Плюс в этом месте получается от умножения минуса на минус. 10-е типовые номера: Немного усложнили обычный выбор вероятности: При решении надо просто учес

Итак, как я писала в предыдущей статье, «новые» номера усложнены чуть-чуть, что не должно представлять проблему для учеников, начиная с твердых хорошистов.

К сожалению (обратила внимание), таковых, не говоря об отличниках, стало в разы меньше - все меньше, и меньше с каждым годом по одной-единственной причине: дети ничего не учат, а то, что раньше запоминалось само в процессе тренажерных отработок, теперь не запоминается, т.к. любую отработку заменило ГДЗ. Прямой доступ в интернет для школьников = смерть знаниям, хотя, возможно, задумывалось все наоборот.

Но не будем о грустном.

Будем о вечном - о математике.

Новшества:

9-е типовые номера:

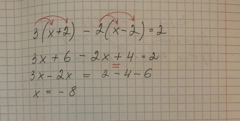
Добавлены линейные уравнения, требующие раскрытия скобок (умножения на скобку). Главное - не ошибиться со знаком!

Уравнение и решение
Уравнение и решение

Самая частая ошибка - вместо подчеркнутого двумя чертами плюса ребята пишут минус. Плюс в этом месте получается от умножения минуса на минус.

10-е типовые номера:

Немного усложнили обычный выбор вероятности:

Один из вариантов задания.
Один из вариантов задания.

При решении надо просто учесть выбывание из общего счета первого карандаша:

Решение.
Решение.

Кроме того (во что мне слабо верится, но вдруг (!)) - возможны задания на дерево случайного опыта.

Для примера:

-4

и решение:

-5

Есть и такие варианты 10-го номера: фразы, написанные «немного другими» словами.

Но решается все по общим, всем известным формулам:

-6

И решение:

-7

Появилось и про монету. Думаю, большинство ребят знакомы с решением такой задачи. Но, наверное, самым странным для меня было увидеть в десятых номерах диаграммы Эйлера. Если будет запрос на варианты решения, я организую это в комментариях, однако, думается мне, эти диаграммы изучаются чуть ли не с начальных классов и проблем с ними быть не должно.

15 и 16-е типовые номера:

Некоторые подсказки по решению:

Красным отмечено дополнительное построение и обозначение. В последнем номере можно было и не искать косинус, а воспользоваться теоремой Пифагора.
Красным отмечено дополнительное построение и обозначение. В последнем номере можно было и не искать косинус, а воспользоваться теоремой Пифагора.

Некоторые подсказки по 17-м типовым номерам:

Номера не сложнее существующих.
Номера не сложнее существующих.

Подытожим.

Если в "старых" геометрических номерах в основном используется теорема Пифагора, теорема о 30 градусах (в прямоугольном треугольнике), средняя линяя и прочие достаточно популярные теоремы 7-8 класса, то в новых предлагается вспомнить (или выучить!) теоремы, по большей части изучаемые в 9 классе, а именно:

  • Теорема о центре окружности, описанной около прямоугольного треугольника;
  • теорема о касательной и радиусе окружности;
  • формулы связи радиусов вписанной и описанной окружностей со сторонами правильного треугольника;
  • Теоремы синусов и косинусов.

Призываю всех учеников, кто готов побороться за 4 или 5, повторить эти теоремы и формулы и прорешать тренировочные задания.

Ну а теперь про 20-е типовые номера. Они приросли, в основном, неравенствами с рациональными дробями:

Ничего страшного или ужасного: решаем по обычным правилам работы с неравенствами плюс свойства дробей.
Ничего страшного или ужасного: решаем по обычным правилам работы с неравенствами плюс свойства дробей.

При работе с неравенствами не забываем о следующем:

_ не забываем о пресловутом ОДЗ, который теперь не ОДЗ, а условие;

_ неравенства - это не уравнения, решения неравенств всегда графическое, т.к. ответ содержит нге число, а множество чисел;

_ сокращать знаменатель в неравенствах не стоит;

_ при решении системы неравенств каждое из неравенств в системе решается отдельно, после чего ищется их пересечение;

_ для каждого неравенства желательна своя числовая прямая.

Как пример привожу решение:

Если есть вопросы по решению, пишите в комментариях.
Если есть вопросы по решению, пишите в комментариях.

Наблюдения, которые сделали мы с учениками в этом году: при изучении 23-их и даже 25-х типовых номеров, как вы понимаете, из второй части ОГЭ нам очень помогают Задачи на готовых чертежах Э.Н.Балаяна. Вообще любые тренировочные материалы на определенные темы, а не только бесконечное прорешивание сборников ОГЭ, буквально поднимают уровень.

Остался грубо говоря месяц до экзамена.

Напоследок некоторая общая информация:

Учтите, родители, что если у вашего ребенка годовая оценка 4, он может повысить ее до пятерки в аттестате, причем и по алгебре, и по геометрии (для многих это очень существенно при учете конкурса аттестатов), сдав экзамен не менее, чем на 22 балла. Для этого не нужно сделать прямо все-все! Достаточно решить первую часть и 2-3 номера второй части.

Точно так же, если годовая - тройка, в аттестате можно получить четверку (тоже и по алгебре, и по геометрии), написав ОГЭ не менее, чем на 15 баллов ( с обязательными 2 баллами конкретно за геометрические номера).

------------------------------------------------------------------------------------------

Даты досрочных, основных и резервных экзаменов:

Досрочные экзамены: 21 апреля – 6 мая 2026 года.

  • 21 апреля – математика
  • 24 апреля – русский язык
  • 28 апреля – информатика, литература, обществознание, химия
  • 6 мая – биология, география, иностранные языки, история, физика

Период для отдельных категорий участников:

  • 12 мая – математика
  • 13 мая – информатика, литература, обществознание, химия
  • 14 мая – биология, география, иностранные языки, история, физика
  • 15 мая – русский язык
  • 18 мая – все предметы

Основной этап сдачи ОГЭ для девятиклассников пройдет со 2 июня по 6 июля 2026 года. На этот период приходится большинство экзаменов по обязательным и выборным предметам.

2 июня – математика

5 июня – все предметы, кроме русского языка и математики

6 июня – иностранные языки (английский, немецкий, французский, испанский), информатика

9 июня – русский язык

16 июня – все предметы, кроме русского языка и математики

19 июня – все предметы, кроме русского языка и математики

Резервные дни:

29 июня – математика

2 июля – русский язык

3 июля и 6 июля – все предметы, кроме русского языка и математики

Дополнительный период:

Сентябрьская сессия предназначена для девятиклассников, не прошедших ГИА в основные сроки по уважительным причинам или не преодолевших минимальный порог. Она пройдет с 3 по 25 сентября 2026 года.

3 сентября – математика

7 сентября – русский язык

10 сентября – биология, география, история, физика

14 сентября – иностранные языки, информатика, литература, обществознание, химия Подробнее на сайте РАНХиГС https://www.ranepa.ru/blog/postuplenie-v-vuz/raspisanie-oge-daty-i-period-provedeniya/

Удачи, ребята! Готовьтесь!