Добавить в корзинуПозвонить
Найти в Дзене

Динамика: вывод всех формул, разбор соотношений и решение задач.

Введение В этой статье будут выведены/преобразованы все формулы динамики алгебраическим способом, показана связь динамики с кинематикой, разобраны пропорциональные зависимости физических величин и решение задач. Оглавление 1) Преобразование формул массы и ускорения из II закона Ньютона; 2) Вывод формул ускорения свободного падения, пути и скорости из формул кинематики; 3) Вывод формул веса, плотности, массы и объёма; 4) Разбор соотношений F, a, m, V, P, g; 5) Все формулы и соотношения динамики; 6) Задачи для отработки; 7) Литература; Преобразуем формулы m и a из II закона Ньютона (закона механики): 1) F = ma <=> 2) m = F/a < = > 3) a = F/m, где F - сила, m - масса, a - ускорение. В динамике формулы при свободном падении такие же как в кинематике при равноускоренном движении без начальной скорости, только вместо a в формулах стоит g (ускорение свободного падения): Кинематика Динамика a = v/t
Оглавление

Введение

В этой статье будут выведены/преобразованы все формулы динамики алгебраическим способом, показана связь динамики с кинематикой, разобраны пропорциональные зависимости физических величин и решение задач.

Оглавление

1) Преобразование формул массы и ускорения из II закона Ньютона;

2) Вывод формул ускорения свободного падения, пути и скорости из формул кинематики;

3) Вывод формул веса, плотности, массы и объёма;

4) Разбор соотношений F, a, m, V, P, g;

5) Все формулы и соотношения динамики;

6) Задачи для отработки;

7) Литература;

1) Преобразование формул массы и ускорения из II закона Ньютона:

Преобразуем формулы m и a из II закона Ньютона (закона механики):

1) F = ma <=> 2) m = F/a < = > 3) a = F/m, где F - сила, m - масса, a - ускорение.

2) Вывод формул ускорения свободного падения, пути и скорости из формул кинематики:

В динамике формулы при свободном падении такие же как в кинематике при равноускоренном движении без начальной скорости, только вместо a в формулах стоит g (ускорение свободного падения):

Кинематика Динамика

a = v/t 4) g = v/t

s = v^2/2a 5) s = v^2/2g

s = at^2/2 6) s = gt^2/2

a = v^2/2s 7) g = v^2/2s

v = at 8) v = gt

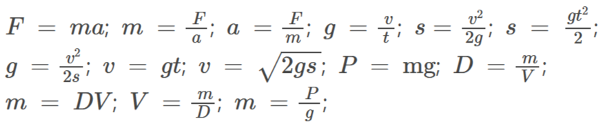
3) Вывод формул весса P, плотности D, массы m и объёма V:

Сила тяжести - это вес, => F = mg => формула веса: 10) P = mg.

Плотность вещества - это количество массы на единицу объёма, =>

11) D = m/V <=> 12) m = DV <=> 13) V = m/D.

Масса тела в технических единицах массы через вес и ускорение свободного падения: 14) m = P/g.

4) Разбор соотношений F, a, m, V, P, g:

Ньютон выявил пропорциональные зависимости между физическими величинами динамики при взаимодействии двух тел:

1) Чем больше силы, тем больше ускорения:

F1 / F2 = a1 / a2 <=> F1a2 = F2a1, где F1 и F2 - соответственно меньшая и большая сила, a1 и a2 - соответственно меньшее и большее ускорение

2) Ускорения тем больше, чем меньше массы:

a1 / a2 = m2 / m1 <=> a1m1 / a2m2, где a1 и a2 - соответственно меньшее и большее ускорения, m1 и m2 - соответсвенно меньшая и большая массы.

3) Силы тем больше, чем больше их массы:

F1 / F2 = m1 / m2 <=> F1m2 / F2m1, где F1 и F2 - соответственно большая и меньшая силы, m1 и m2 - соответсвенно меньшая и большая массы.

4) Скорости тел тем больше, чем меньше их массы:

v1 / v2 = m2 / m1 <=> v1m1 / v2m2, v1 и v2 - соответсвенно большая и меньшая скорости, m1 и m2 - соответсвенно меньшая и большая массы.

5) Весс тел тем больше, чем больше их массы:

P1 / P2 = m1g/ m2g <=> P1/P2 = m1/m2 (сократиили g), где P1 и P2 - меньший и больший вес, m1 и m2 - соответсвенно меньшая и большая массы.

5) Все формулы и соотношения динамики:

Формулы
Формулы

Соотношения
Соотношения

6) Задачи для отработки:

Пример 1 (задача, решаемая формулой): Шарик массой 100 г приобрёл ускорение a = 0,5 см/с^2. Какая сила F на него подействовала? (отв. дать в динах и ньютонах).

Решение:

F = ma

F = 100 г * 0,5 см/с^2 = 50 дин = 0,00050 Н

Как перевели дины в ньютоны?

Т.к. 1Н = (1 кг * м) / с^2, а 1 дн = (1 г * см) / с^2, то 1 дн / 1 Н =

(1 г * см) / с^2 / (1 кг * м) / с^2 = (1 г * см) / с^2 / (1000 г * 100 см) / с^2 =

1/100 000, т.е. 1 Н больше 1 дн в 100 000 раз => 1 дн = 0,00001 Н, тогда 50 дн = 0,00050 Н

Пример 2 (задача, решаемая соотношением): Из винтовки m2 = 4,458 кг выстрелили пулей массой m1 = 23 г. Скорость отдачи винтовки составила v = 4,46 м/с. Найти начальную скорось полёта пули.

Мы знаем, что скорость тела тем больше, чем меньше его масса:

v1 / v2 = m2 / m1

v1 / 4,46 м/с = 4,458 кг / 0,023 кг

0,023v1 = 19,88268

v1 = 865 м/с

Эту задачу можно решить по-другому, зная, что скорость пули должна быть во столько раз больше скорости отдачи винтовки, во сколько раз вес винтовки больше её веса:

4,458 кг/ 0,023 кг = 193,8 раз => 4,46 м/с * 193,8 = 865 м/с.

Задача №1

Тело массой 2 кг под действием силы приобрело ускорение 0,5 м/с². Определите действующую силу.

Задача №2

Под действием силы 10 Н тело движется с ускорением 2 м/с². Определите массу тела.

Задача №3

Тело массой 200 г под действием силы 4 Н разгоняется из состояния покоя. Какое ускорение приобретает тело? (Ответ дать в м/с²).

Задача №4

Тело массой 5 кг свободно падает с высоты 80 м. Принимая g = 9,8 м/с^2, определить время падения и скорость в момент удара о землю. (Ответ округлить до целых).

Задача №5

Камень массой 2 кг брошен вертикально вверх со скоростью 20 м/с. Принимая g = 9,8 м/с^2, определите максимальную высоту подъёма. (Ответ округлить до целых).

Задача №6

На два тела действуют силы F1 = 6Н и F2 ​= 2Н. Ускорение первого тела

a1 = 3 м/с^2. Чему равно ускорение второго тела, если их массы одинаковы?

Задача №7

На два тела одинаковой массы действуют силы F1​ = 4Н и F2​ = 12Н. Во сколько раз ускорение второго тела больше ускорения первого?

Задача №8

Два тела под действием одинаковой силы получили ускорения a1​ = 2 м/с^2 и

a2​ = 8 м/с^2. Как соотносятся их массы?

Задача №9

Из винтовки массой m1​= 4 кг вылетает пуля массой m2​ = 10 г со скоростью

v2 ​= 600 м/с. Какую скорость приобретает винтовка при отдаче?

Ответы:

  1. F = 1 Н.
  2. m = 5 кг.
  3. a = 20 м/с^2.
  4. t ≈ 4 с, v ≈ 40 м/с.
  5. h ≈ 20 м.
  6. a2​ = 1 м/с^2.
  7. Ускорение второго тела больше в 3 раза.
  8. Масса первого тела в 4 раза больше массы второго (m2 ​: m1= 1 : 4).
  9. v1​ = 1,5 м/с.

7) Литература:

Соколов И.И. Курс физики. Часть 1. — 1951.