Найти в Дзене
Tatarstan News

Жильцы одной из многоэтажек Казани решили взыскать с телеком-оператора «Уфанет» плату за использование общего имущества дома в течение

предыдущих пяти лет, и направить эти деньги на уменьшение платежей за коммуналку. Поводом к этому послужило назначение управляющей компанией внеочередного собрания собственников жилья, главным вопросом которого должно стать заключение договора между УК и «Уфанет» на услуги «Умный домофон». Инициативная группа жильцов дома 11 по улице Ноксинский спуск собрала подписи собственников квартир и направила коллективное обращение в Госжилинспекцию Татарстана. На ответ у ведомства по закону есть от 7 до 30 дней. Тем временем УК «Райжилуправление Советского района» назначила собрание жильцов в очно-заочной форме на 12 апреля. В обращении актиаисты утверждают, что «Уфанет» установил и эксплуатирует свои сети в их доме без разрешения собственников квартир. Помимо требования о взыскании с «Уфанета» платы в пользу жильцов дома, активисты потребовали обязать оператора заключить с каждым из них соглашение о предоставлении и защите персональных данных. ⭐️ Прислать новость в TN 📲 TN в MAX

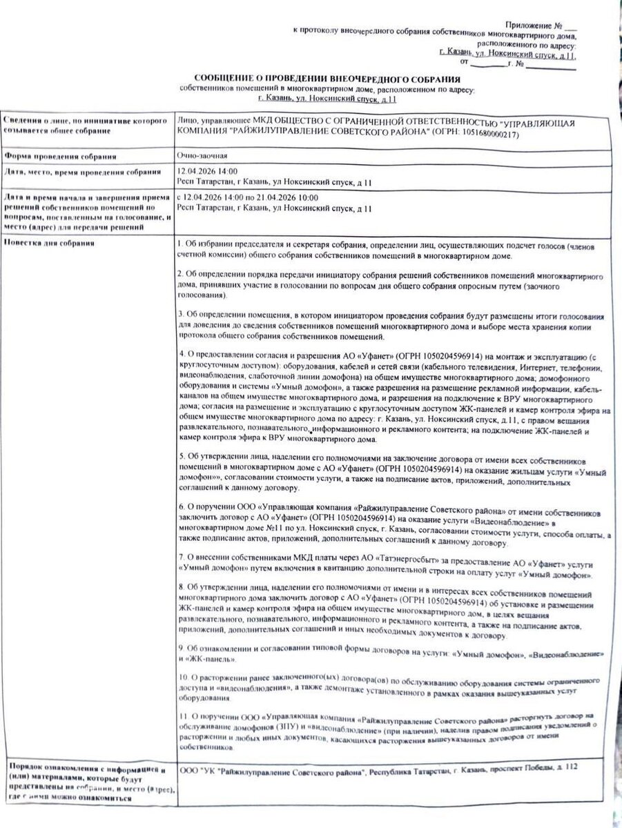
Жильцы одной из многоэтажек Казани решили взыскать с телеком-оператора «Уфанет» плату за использование общего имущества дома в течение предыдущих пяти лет, и направить эти деньги на уменьшение платежей за коммуналку.

Поводом к этому послужило назначение управляющей компанией внеочередного собрания собственников жилья, главным вопросом которого должно стать заключение договора между УК и «Уфанет» на услуги «Умный домофон».

Инициативная группа жильцов дома 11 по улице Ноксинский спуск собрала подписи собственников квартир и направила коллективное обращение в Госжилинспекцию Татарстана. На ответ у ведомства по закону есть от 7 до 30 дней. Тем временем УК «Райжилуправление Советского района» назначила собрание жильцов в очно-заочной форме на 12 апреля.

В обращении актиаисты утверждают, что «Уфанет» установил и эксплуатирует свои сети в их доме без разрешения собственников квартир. Помимо требования о взыскании с «Уфанета» платы в пользу жильцов дома, активисты потребовали обязать оператора заключить с каждым из них соглашение о предоставлении и защите персональных данных.

⭐️ Прислать новость в TN

📲 TN в MAX