Добавить в корзинуПозвонить
Найти в Дзене

Кинематика: вывод всех формул и решение задач.

Аннотация В статье выводятся все формулы кинематики прямолинейного движения (18 формул) для равномерного, равнопеременного с начальной скоростью и равнопеременного движения без начальной скорости. Каждая формула выведена двумя способами: алгебраическим и логическим. Для наглядности в статье есть раздел графиков путей и скоростей для разных видов движения. Для отработки навыка решения задач в статье есть раздел "Задача для отработки".» Вступление Данная статья представляет из себя глубокое объяснение школьной кинематики. Она расскрывает смысл каждой из 18 формул простейшего прямолинейного движения. Большинство формул выведенно двумя способами - алгебраическим и логическим. Алгоритм выведения: в задаче требуется найти физическую величину -> выводим формулу (алгебраически, опираясь на другие формулы и/или логически) -> подставляем в неё значения и получаем ответ. Содержание 1. Равномерное движение; 2. Равномерно-переменное движение с начальной скоростью; 3. Равномерно-переменное движе
Оглавление

Аннотация

В статье выводятся все формулы кинематики прямолинейного движения (18 формул) для равномерного, равнопеременного с начальной скоростью и равнопеременного движения без начальной скорости. Каждая формула выведена двумя способами: алгебраическим и логическим. Для наглядности в статье есть раздел графиков путей и скоростей для разных видов движения. Для отработки навыка решения задач в статье есть раздел "Задача для отработки".»

Вступление

Данная статья представляет из себя глубокое объяснение школьной кинематики. Она расскрывает смысл каждой из 18 формул простейшего прямолинейного движения. Большинство формул выведенно двумя способами - алгебраическим и логическим. Алгоритм выведения: в задаче требуется найти физическую величину -> выводим формулу (алгебраически, опираясь на другие формулы и/или логически) -> подставляем в неё значения и получаем ответ.

Содержание

1. Равномерное движение;

2. Равномерно-переменное движение с начальной скоростью;

3. Равномерно-переменное движение без начальной скорости;

4. Частный случай равномерно-переменного движения с начальной скоростью когда время неизвестно;

5. Частный случай равномерно-переменного движения без начальной скорости когда время неизвестно;

6. 18 выведенных формул кинематики;

7. Важный момент при отрицательном ускорении;

8. Графики пути s и скорости v при трёх видах движения, относительно времени t;

9. Задачи для отработки;

10. Литература;

1) Равномерное движение:

В задачах равномерного движения есть всего три физические величины:

s - путь, v - скорость (постоянная), t - время.

Сначала логически выведем первую формулу для равномерного движения, а затем будем от неё отталкиваться.

Задача 1. Тело движется с постоянной скоростью v = 3 м/с в течении t = 5 c.

s - ?

Каждую секудну тело проходит 3 м в течении 5 с => s = 3 м/с * 5 с = 15 м, значит s = vt (1)

_________________________________________________________________________________________

Задача 2. Тело прошло путь s = 15 м за t = 5 c. v - ?

Способ 1 (Алгебраический):

Берём полученную нами ранее формулу пути и из неё выводим формулу скорости:

s = vt | : t

s / t = v

Получили формулу скорости:

v = s / t (2)

Подставляем значения:

v = 15 м / 5 с = 3 м/с.

Способ 2 (Логический):

Скорость - это расстояние, которое тело проходит за единицу времени, значит:

v = s / t

___________________________________________________________________

Задача 3. Тело прошло путь s = 15 м с постоянной скоростью v = 3 м/с. t - ?

Способ 1 (Алгебраический):

Выводим формулу времени из той же формулы пути:

s = vt | : v

s / v = t

Получили формулу времени:

t = s / v (3)

Подставляем в неё значения:

t = 15м / 3 м/с = 5 с.

Способ 2 (Логический):

Каждую секунду тело проходит 3 м, а всего оно прошло 15 м, значит надо узнать, сколько 3 м в 15 м, т.е., поделить путь на скорость:

t = s / v

2) Равномерно-переменное движение с начальной скоростью:

В задачах равномерно-переменного движения с начальной скоростью есть пять физических величин:

a - ускорение, v0 - начальная скорость, v - конечная скорость, t - время, s - путь. Для нахождения первых четырёх величин путь знать не нужно.

Задача 4: Тело начало движение со скоростью v0 = 1 м/с и через t = 5 c достигло скорости v = 11 м/с. a - ?

Сначала логически выведем первую формулу для равномерно-переменного движения, а затем будем от неё отталкиваться.

Нужно узнать, на сколько изменилась скорость тела за данный промежуток времени: v - v0 или v0 - v (если тело двигалось с замедлением). Далее нужно узнать, на сколько единиц скорости изменялась скорость тела каждую секунду:

(v - v0) / t: a = (v - v0) / t (4)

Подставляем значения в формулу:

a = (11 м/с - 1 м/с) / 5 с = 2 м/с^2

________________________________________________________________

Задача 5: Тело двигалось с ускорением a = 2 м/с^2 в течении t = 5 с, достигнув скорости v = 11 м/с. v0 - ?

Способ 1 (Алгебраический):

Выводим из полученной раннее формулы ускорения формулу начальной скорости:

a = (v - v0) / t | * t

at = v - v0

v0 = v - at (5)

Подставляем значения в формулу:

v0 = 11 м/с - 2 м/с^2 * 5 c

v0 = 11 - 10

v0 = 1 м/с

Способ 2 (Логический):

Каждую секунду скорость тела увеличивалась на 2 м/с, значит за 5 с она изменилась на: 2 м/с * 5 с = 10 м/с => v0 = 11 м/с - 2 м/с * 5 с => v0 = v - at

_______________________________________________________________________

Задача 6: Тело двигалось с ускорением а = 2 м/с^2 в течении t = 5 с с начальной скоростью v0 = 1 м/с. v - ?

Способ 1 (Алгебраический):

Из формулы начальной скорости выводим формулу конечной скорости:

v0 = v - at

-v = - at - v0 | * (-1)

v = at + v0

v = v0 + at (6)

Подставляем значения в формулу:

v = 1 м/с + 2 м/с^2 * 5 c

v = 1 м/с + 10 м/с

v = 11 м/с

Способ 2 (Логический):

Тело каждую секунду увеличивает свою скорость на a = 2 м/с в течении t = 5 c, значит за это время оно увеличивало свою скорость на: v = 2 м/с^2 - 5 c =

10 м/с + v0 = 10 м + 1 м/с = 11 м/с => v = at + v0 => v = v0 + at.

__________________________________________________________________________________________

Задача 7: Тело начало движение с начальной скоростью v0 = 1 м/с с ускорением a = 2 м/с^2, достигнув скорости v = 11 м/с. t - ?

Способ 1 (Алгебраический):

Из формулы ускорения выведем формулу времени:

a = (v - v0) / t | * t

at = v - v0 | : a

t = (v - v0) / a (7)

t = (11 м/с - 1 м/с) / 2 м/с^2 = 10 м/с / 2 м/с = 5 c

Способ 2 (Логический):

Скорость тела изменилась на: v - v0 = 11 м/с - 1 м/с = 10 м/с.

Скорость тела каждую секунду увеличивается на 2 м/с, значит сколько единиц ускорения в 10 м/с, столько секунд прошло:

t = (v - v0) / a

__________________________________________________________________________________________

Задача 8. Тело двигалось с начальной скоростью v0 = 1 м/с и ускорением

a = 2 м/с^2 в течении t = 5 с и достигло конечной скорости v = 11 м/с. s - ?

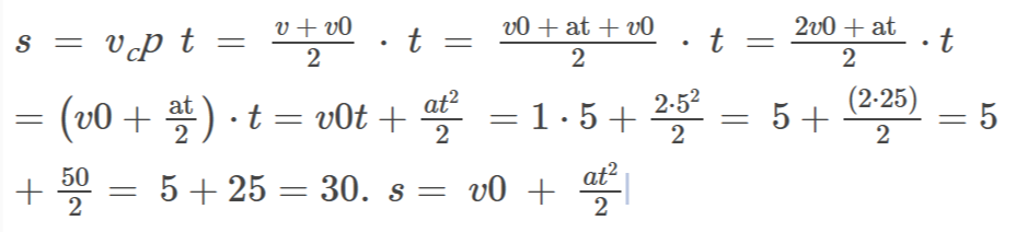
Чтобы узнать путь, пройденный телом за данное время нужно знать его скорость и время, за которое тело прошло некоторое расстояние (согласно формуле s = vt). Но мы в данной случае имеем дело с равномерно-переменным движением и не имеем постоянной скорости, однако мы можем заменить реальное переменное движение вооброжаемым постоянным с той же средней скоростью: v_ср = (v - v0) / 2 Подставив эту формулу средней скорости равномерного движения в формулу s = v_ср * t, т.к. тело с непостонной и постоянной (средней) скоростью пройдёт одинаковый путь. Вычисляем путь:

s = v_ср * t = ((v + v0) / 2) * t = ((11 м/с + 1 м/с) / 2) * 5 c = 6 * 5 = 30 м.

Но мы можем не знать конечной скорости, тогда выведем формулу пути без конечной скорости, подставив вместо v значения из формулы v = v0 + at:

Формула пути равномерно-переменного движения с начальной скоростью:

s = v0t + (at^2) / 2 (8)

3) Равномерно-переменное движение без начальной скорости:

В задачах равномерно-переменного движения без начальной скорости есть четыре физические величины:

a - ускорение, v - конечная скорость, t - время, s - путь.

Задача 9: Тело начало движение из состояния покоя и двигалось t = 5 c, достигнув скорости v = 20 м/с и пройдя путь s = 50 м. a - ?

Берём уже знакомую формулу ускорения и убираем из нее начальную скорость (v0), т.к. нет смысла вычитать из конечной скорости нуль.

a = v / t (9)

a = 20 м/с / 5 с = 4 м/с^2

__________________________________________________________________________________________

Задача 10: Тело вышло из состояния покоя и двигалось в течении t = 5 с ускрорением a = 4 м/с^2 и прошло s = 50 м. v - ?

Как мы знаем, v = s / t. Но в данном случае это будет формула средней (постоянной) скорости. Вычислим её, чтобы потом узнать конечную скорость.

v_ср = 50 м / 5 с = 10 м/с

v_ср = v / 2 (а с начальной скоростью v_ср = (v - v0) / 2 ).

Тогда получается, что v_ср = s / t = v / 2. Теперь мы можем вывести из этого равенства формулу скорости для равномерно-переменного движения без начальной скорости:

s / t = v / 2

vt = 2s | : t

v = 2s / t (10)

v = (2 * 50 м) / 5 с = 100 м / 5 с = 20 м/с

Но может оказаться, что путь неизвестен и тогда мы можем найти конечную скорость, опираясь на формулу конечной скорости при движении с начальной скорсотью: v = v0 + at. Уберём из неё v0, т.к. это движение без начальной скорости и получимм: v = at (11)

__________________________________________________________________________________________

Задача 11: Тело начало движение с ускорением a = 4 м/с^2 и прошло s = 50 м, достигнув скорости v = 20 м/с.

Способ 1 (Алгебраический):

Берем формулу скорости и выводим из неё формулу времени:

v = 2s / t | : 2s

v / 2s = (2s/t) / 2s

v/2s = 1/t

vt = 2s | : v

t = 2s / v (12)

Способ 2 (Логико-алгебраический):

Как мы знаем, t = s / v. Но в данном случае мы имеем дело не с постоянной, а с переменной скоростью, которую превратили в среднюю, т.е. в постоянную:

t = s / v_ср = s / (v / 2) = 2s / v

t = 2 * 50 м / 20 м/с = 100 / 20 = 5 с

__________________________________________________________________________________________

Задача 12: Тело начало движение с ускорением a = 4 м/с^2 в течении t = 5 c и достигло скорости v = 20 м/с. s - ?

Способ 1 (Алгебраический):

v = 2s / t | * t

vt = 2s | : 2

vt / 2 = s

s = vt / 2 (13)

s = (20 м/с * 5 с) / 2 = 100 / 2 = 50 м

Способ 2 (Логический):

Расстояние - это произведение скорости на время.

s = vt

s = v_ср * t

s = (v / 2) * t = vt / 2

s = vt / 2

Может быть случай когда конечная скорость неизвестна и тогда мы можем вычислить путь опираясь на формулу пути для движения с начальной скоростью: s = v0t + (at^2) / 2. Если в данном типе движения начальная скорость отсуствует, то мы можем убрать его из формулы (вместо со временем) и получим: s = (at^2) / 2 (14)

4) Частный случай равномерно-переменного движения с начальной скоростью, если время неизвестно:

В этом типе движения есть четыре физические велчичины:

s - путь, a - ускорение, v0 - начальная скорость, v - конечная скорость.

Задача 13: Тело двигалось с начальной скоростью v0 = 1 м/с с ускорением

a = 2 м/с^2 и достигло скорости v = 11 м/с. s - ?

s = vt

s = v_ср * t

-2
-3
-4
(15)
(15)
-6
-7
-8
-9

В этой задаче мы выявили соотношение:

-10

Которое можно записать ещё в таком виде:

(15)
(15)

Важно, что 2as = v^2 – v0^2 или

s = (v^2 – v0^2) / 2a – это формула, которая связывает s, a, v, v0, но из неё нельзя вывести v, v0 и a. Чтобы найти эти величины, нужно подставить значения в это соотношение и решить уравнение.

Теперь найдём остальные величины с помощью соотношения:

2as = v^2 – v0^2

Задача 14: Тело начало двигаться с начальной скоростью v0 = 1 м/с и ускорением a = 2 м/с^2, пройдя s = 30 м. v – ?

2 * 2 м/с^2 * 30 м = v^2 – (1 м/с)^2

120 = v^2 – 1

–v^2 = –121. | * (–1)

v^2 = 121. | ^ *знак корня*

v = 11 м/с

__________________________________________

Задача 15: Тело двигалось с начальной скоростью v0 = 1 м/с, пройдя s = 30 м и достигло скорости v = 11 м/с. a – ?

2a * 30 м = (11 м/с)^2 – (1 м/с)^2

60a = 121 м/с – 1 м/с

60a = 120 м/с | : 60

a = 2 м/с^2

__________________________________________

Задача 16: Тело двигалось с ускорением a = 2 м/с^2, достигнув скорости

v = 11 м/с и пройдя s = 30 м. v0 – ?

2 * 2 м/с^2 * 30 м = (11 м/с)^2 – v0^2

120 = 121 м/с – v0^2

v0^2 = 121 м/с – 120 м/с

v0^2 = 1 м/с | ^ *знак корня*

v0 = 1 м/с

5) Частный случай равномерно-переменного движения без начальной скорости когда время неизвестно:

В этом типе движения без начальной скорости и когда время неизвестно есть только три величины:

s - путь, v - конечная скорость, a - ускорение.

Задача 17: Тело двигалось с ускорением a = 2 м/с^2, достигнув скорости

v = 20 м/с. s – ?

Формула пути для равномерно–переменного движения без начальной скорости такая же как для движения с начальной скоростью, только без v0:

s = v^2 / 2a (16)

s = (20 м/с)^2 / 2 * 4 м/с^2

s = 400 / 8

s = 50 м

__________________________________________

Задача 18: Тело двигалось с ускорением a = 4 м/с^2 и прошло s = 50 м. v – ?

Из формулы пути выводим формулу конечной скорости:

s = v^2 / 2a. | * 2a

-12

-13

(17)
(17)

-15

-16

-17

_______________________________________

Задача 19: Тело прошло s = 50 м, достигнув скорости v = 20 м/с. a – ?

Берём формулу ускорения для равномерно-переменного движения без начальной скорости и на место t ставим формулу времени:

a = v / t

a = v / (2s / v)

a = v^2 / 2s (18)

a = (20 м/с)^2 / 2 * 50 м

a = 400 м/с / 100 м

a = 4 м/с^2

6) 18 выведенных формул кинематики:

1) Равномерное движение:

-18

2) Равномерно–переменное движение с начальной скоростью (последняя формула пути применяется если время неизвестно):

-19
-20

3) Равномерно-переменное движение без начальной скорости (вторую, пятую и шестую формулу применяем, когда время неизвестно):

-21

7) Важный момент при отрицательном ускорении:

Если мы при равномерно-переменном движении с начальной и без начальной скоростями имеем дело не с ускорением движения, а с его замедлением, то ускорение a будет отрицательным и в формулы мы подстаяем не a, а –а, оставляя знаки в формуле неизменными. Например, если тело замедляется с ускорением а = –2 м/с^2 при равномерно-переменном движении без начальной скорости, например в формулу скорости ускорение подставляется со знаком минус: v = v0 + (–a)t

v = v0 – at

Для остальных формул всё тоже самое.

8) Графики пути s и скорости v при трёх видах движения, относительно времени t:

1) Графики пути и скорости для равномерного движения:

График пути при постоянной скорости v = 3 м/с.
График пути при постоянной скорости v = 3 м/с.

График постоянной скорости v = 3 м/с.
График постоянной скорости v = 3 м/с.

2) Графики пути и скорости для равномерно-переменного движения:

График пути для равномерно-переменного движения с начальной скоростью v0 = 1 м/с и ускорением a = 2 м/с^2
График пути для равномерно-переменного движения с начальной скоростью v0 = 1 м/с и ускорением a = 2 м/с^2

График переменной скорости с начальной скорсотью v0 = 1 м/с и ускорением a = 2 м/с^2.
График переменной скорости с начальной скорсотью v0 = 1 м/с и ускорением a = 2 м/с^2.

3) Графики пути и скорости для равномерно-переменного движения без начальной скорости:

График пути равномерно-переменного движения без начальной скорости и ускорением                 a = 4 м/с^2.
График пути равномерно-переменного движения без начальной скорости и ускорением a = 4 м/с^2.

График скорости для равномерно-переменного движения без начальной скорости и ускорением a = 4 м/с^2.
График скорости для равномерно-переменного движения без начальной скорости и ускорением a = 4 м/с^2.

9) Задачи для отработки:

Часть 1. Равномерное движение (задачи 1–4)

Задача:
Поезд движется со скоростью 20 м/с. Какой путь он пройдёт за 30 секунд?

Решение:

s = vt

s = 20 м/с * 30 с = 600 м

Задача 1
Автомобиль проехал 120 км за 1,5 часа. С какой средней скоростью он двигался? (Ответ дать в км/ч и в м/с)

Задача 2
Скорость зайца 15 м/с, скорость волка 20 м/с. Какое расстояние было между ними первоначально, если волк догнал зайца через 30 секунд? (Подсказка: чтобы найти расстояние, нужно найти скорость сближения).

Задача 3
Два поезда движутся навстречу друг другу со скоростями 15 м/с и 20 м/с. Начальное расстояние между ними 350 м. Через сколько секунд они встретятся? (Подсказка: чтобы найти время, нужно найти скорость сближения).

Часть 2. Равнопеременное движение с начальной скоростью (задачи 5–9)

Задача:
Автомобиль едет с начальной скоростью v = 2 м/с с ускорением 2 м/с². Какую скорость он приобретёт через 8 секунд? Какой путь проедет за это время?

Решение:

v = v0 + at

v = 2 м/с + 2 м/с^2 * 8 c = 2 + 16 = 18 м/с

s = v0t + (at^2) / 2 = 2 м/с * 8 с + (2 м/с^2 * (8 с)^2) / 2 = 16 + (2 * 64) / 2 = 16 + 128 / 2 = 16 + 64 = 80 м

Задача 4
Тело, имея начальную скорость 5 м/с, движется с ускорением 1,5 м/с². Какой путь оно пройдёт за 10 секунд?

Задача 5
Автомобиль движется со скоростью 25 м/с и начинает тормозить с ускорением -3 м/с². Через сколько секунд он остановится? Какой тормозной путь?

Задача 6
Скорость тела за 4 секунды увеличилась с 3 м/с до 15 м/с. Определите ускорение тела и путь, пройденный за это время.

Задача 7
Поезд, движущийся со скоростью 15 м/с, начал торможение и через 20 секунд остановился. Найти ускорение и тормозной путь.

Часть 3. Равнопеременное движение без начальной скорости (задачи 10–14)

Задача:
Тело начинает движение из состояния покоя с ускорением 3 м/с². Какую скорость оно приобретёт через 6 секунд?

v = at

v = 3 м/с^2 * 6 c = 18 м/с

Задача 8
С каким ускорением двигалось тело, если за 5 секунд оно прошло 50 метров? Начальная скорость равна нулю.

Задача 9
Тело, двигаясь без начальной скорости, прошло 25 метров и достигло скорости 10 м/с. Определите ускорение тела.

Задача 10
Автомобиль, трогаясь с места, за 4 секунды проехал 32 метра. Найти ускорение автомобиля.

Задача 11
Тело, двигаясь равноускоренно без начальной скорости, за вторую секунду прошло 6 метров. Определите ускорение тела. (Подсказка: нужно составить уравнение).

Часть 4. Комбинированные задачи (задачи 15–20)

Задача:
Тело падает с высоты 80 м с нулевой начальной скоростью. Ускорение свободного падения принять g = 10 м/с². Найти время падения и скорость в момент удара о землю.

-28
-29
-30

v = 40 м/с

t = 2s / v

t = 2 * 80 м / 40 м/с

t = 160 м / 40 м/с

t = 4 c

Задача 12
Автомобиль разгоняется с места до скорости 20 м/с, проезжая 100 метров. Затем он движется равномерно 30 секунд, после чего тормозит до остановки с ускорением -2 м/с². Найти весь пройденный путь.

Задача 13
Одно тело брошено вертикально вверх с начальной скоростью 20 м/с. Через сколько секунд оно упадёт на землю? (g = 10 м/с²; Подсказка: Время подъёма t1=v0/g).

Задача 14
Два велосипедиста начинают движение из одной точки в одном направлении. Первый движется равномерно со скоростью 8 м/с. Второй трогается с места с ускорением 1 м/с². Через сколько секунд второй догонит первого? (Подсказка: нужно составить квадратное уравнение).

Задача 15
Тело брошено вертикально вверх со скоростью 30 м/с. На какой высоте его скорость уменьшится в 2 раза? (g = 10 м/с²)

Задача 16
Автомобиль движется со скоростью 15 м/с. Водитель замечает препятствие и нажимает на тормоз. Тормозной путь составил 45 метров. Определите время торможения и ускорение автомобиля.

Ответы:

  1. v=80 км/ч ≈ 22,2 м/с.
  2. s=150 м.
  3. t=10 с.
  4. s=125 м.
  5. t≈8,33 с, s≈104,2 м.
  6. a=3 м/с², s=36 м.
  7. a=−0,75 м/с², s=150 м.
  8. a=4 м/с².
  9. a=2 м/с².
  10. a=4 м/с²
  11. a=4 м/с².
  12. 800 м.
  13. 4 с.
  14. 16 с.
  15. 33,75 м.
  16. 6 с, -2,5 м/с².

10) Литература:

Соколов И.И. Курс физики. Часть 1. — 1951.